Undergraduate
Algebra
Linear Algebra
Abstract Algebra
Elementary Algebra
Boolean Algebra
Commutative Algebra
Universal Algebra
Sign In
Register
Polynomials
Algebra
Linear Algebra
Abstract Algebra
Elementary Algebra
Boolean Algebra
Commutative Algebra
Matrix Algebra
Universal Algebra
Advanced Algebra
Pre Algebra
Sign In
Register
Undergraduate
Calculus
Vector Calculus
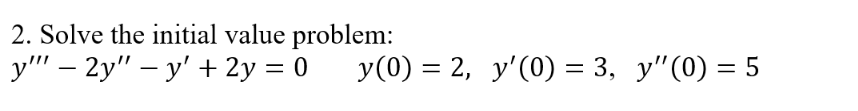
Solve the initial value problem: y ^ ( ' ' ' )
Undergraduate
Solve the initial value problem: y ^ ( ' ' ' ) - 2 y ^ ( ' ' ) - y ^ ( '
Solve the initial value problem: y
^
(
'
'
'
)
-
2
y
^
(
'
'
)
-
y
^
(
'
)
+
2
y
=
0
,
y
(
0
)
=
2
,
y
^
(
'
)
(
0
)
=
3
,
y
^
(
'
'
)
(
0
)
=
5
Step by Step Solution
1
Understanding Responsive Design Principles
Sign up to view
Related Vector Calculus Questions
Discrete Probability
Solve the given initial - value problem. ( Enter any column vector as a row vector. ) Solve the given initial - value problem. ( Enter any column vector as a row vector. ) ] ) ( [ 3 , 4 x ( t ) Need...
Verified
Previous Question
Next Question