Undergraduate
Algebra
Linear Algebra
Abstract Algebra
Elementary Algebra
Boolean Algebra
Commutative Algebra
Universal Algebra
Sign In
Register
Polynomials
Algebra
Linear Algebra
Abstract Algebra
Elementary Algebra
Boolean Algebra
Commutative Algebra
Matrix Algebra
Universal Algebra
Advanced Algebra
Pre Algebra
Sign In
Register
Undergraduate
Calculus
Vector Calculus
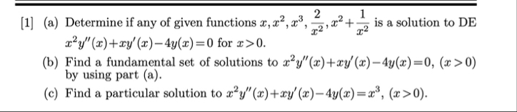
[ 1 ] ( a ) Determine if any of given functions
Undergraduate
[ 1 ] ( a ) Determine if any of given functions x , x 2 , x 3 , 2 x 2 , x
[
1
]
(
a
)
Determine if any of given functions
x
,
x
2
,
x
3
,
2
x
2
,
x
2
1
x
2
is a solution to DE
x
2
y
'
'
(
x
)
x
y
'
(
x
)
-
4
y
(
x
)
=
0
for
x
>
0
(
b
)
Find a fundamental set of solutions to
Step by Step Solution
1
Understanding Responsive Design Principles
Sign up to view
Related Vector Calculus Questions
Nonlinear Differential Equations
Problem 5 . ( 6 points ) Consider the linear system vec ( y ) ' = [ - 3 - 2 6 4 ] vec ( y ) . ( 1 ) Find the eigenvalues and eigenvectors for the coefficient matrix. ( 2 ) For each eigenpair in the...
Verified
Previous Question
Next Question