Undergraduate
Algebra
Linear Algebra
Abstract Algebra
Elementary Algebra
Boolean Algebra
Commutative Algebra
Universal Algebra
Sign In
Register
Polynomials
Algebra
Linear Algebra
Abstract Algebra
Elementary Algebra
Boolean Algebra
Commutative Algebra
Matrix Algebra
Universal Algebra
Advanced Algebra
Pre Algebra
Sign In
Register
Undergraduate
Calculus
Calculus Of Variations
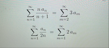
Find the recurrence equation for these equations. Derive the first 5 terms
Undergraduate
Find the recurrence equation for these equations. Derive the first 5 terms of the sequence. You can assume ary undetermined initial terms is II n
Find the recurrence equation for these equations. Derive the first
5
terms of the sequence. You can assume ary undetermined initial terms is II
n
=
1
n
a
n
n
+
1
=
m
=
2
3
a
m
n
=
1
a
n
2
n
=
m
=
1
2
a
m
Step by Step Solution
1
Understanding Responsive Design Principles
Sign up to view
Related Calculus Of Variations Questions
Prealgebra
A city has a population of 3 6 0 , 0 0 0 people. Suppose that each year the population grows by 8 . 2 5 % . What will the population be after 7 years? Use the calculator provided and round your...
Verified
Previous Question
Next Question